凯斯艾生物科技(苏州)有限公司
一、流感病毒介绍
流感是由流感病毒引起的急性呼吸道传染病,具有高度传染性。据世界卫生组织(WHO)数据,全球每年约300万-500万重症病例,29万-65万人因流感相关并发症死亡。自有记载以来,人类历史上爆发了数次流感大流行,累计死亡超过1亿人。
流感病毒属于正粘病毒科,分为 A、B、C、D 四个型别,其中A型和B型是导致人类季节性流感的主要病原体。A型流感病毒的血凝素(HA)和神经氨酸酶(NA)蛋白易发生变异,产生新的亚型(如 H1N1、H3N2、H5N1 等)。这种变异主要通过两种方式实现:抗原漂移(小幅度突变,导致每年流行株变化)和抗原转变(不同亚型基因重组,可能引发大流行)。例如,2009年的H1N1大流行就是由猪流感、禽流感和人流感病毒重组产生的新型毒株引起。

流感病毒在人体内主要的复制场所在呼吸道上皮细胞。复制周期为HA与宿主细胞膜上的唾液酸受体结合后,通过细胞内吞被转运到细胞质,然后随着环境PH的变化,病毒HA的构象随之改变,进而诱导病毒外膜与细胞膜的融合。膜融合的结果为包裹在病毒内的基因组释放到细胞质,随后被转运到细胞核。在细胞核中病毒基因组进行自我复制,并转录mRNA,病毒mRNA转移到细胞质后翻译病毒蛋白,之后病毒基因组和蛋白被转运到细胞膜附近组装,形成新的病毒。新病毒在细胞膜上的释放过程中,病毒表面的NA切断新病毒颗粒表面HA与细胞膜唾液酸的结合,病毒脱离细胞,释放到细胞外。

二、流感疫苗或治疗性药物研发现状介绍
01.流感疫苗研发现状
流感疫苗是预防和控制流感的主要措施之一。可以减少接种者感染流感的机会或者减轻流感症状。全球已上市的流感疫苗有灭活疫苗(包括裂解疫苗和亚单位疫苗)、减毒活疫苗和重组疫苗。根据疫苗所含组分,可分为三价和四价流感疫苗,与三价流感疫苗相比,四价流感疫苗毒株中增加了乙型流感的一个谱系。灭活疫苗采用肌内注射,减毒活疫苗采用鼻内喷雾法。但是由于流感病毒的快速突变,流行株与疫苗株可能不一致,导致流感疫苗的有效性存在差异; 此外,使用鸡胚生产季节性流感疫苗存在生产速度慢的问题,且当鸡胚中发生适应性突变时,会降低疫苗的有效性。更重要的是,新出现的流感大流行会使季节性流感疫苗几乎失效,而人群普遍缺乏免疫力会加剧症状。因此,开发有效的通用流感疫苗迫在眉睫。

图3: 流感疫苗研发现状
流感病毒的复制依赖于其内部的几个关键蛋白,如PA、PB1、PB2(三者共同组成RNA聚合酶复合物)和神经氨酸酶(NA)。现有的药物大多针对这些靶点进行攻击。

图4: 流感治疗性药物介绍

三、动物模型在流感疫苗和药物临床前研发的应用
目前使用最广泛的流感病毒动物模型为小鼠感染模型。小鼠模型易于操作和管理,可采用近交系小鼠降低个体的差异性,较其它动物种属更易控制,且价格相对较低。但小鼠不是流感的天然宿主,因此,不能很好的模拟人类感染流感的症状及相关病理,且小鼠与人类的免疫反应存在明显差异。因而小鼠感染模型更适用于早期疫苗和药物筛选阶段。
第二类广泛使用的动物模型是雪貂感染模型。相比小鼠,雪貂呼吸道的生理学结构和解剖学与人类更接近,感染流感病毒后的临床症状与人类流感也非常相似,包括咳嗽、流鼻涕、打喷嚏及发烧等,因而雪貂感染模型作为流感疫苗和药物临床前有效性评价的“金标准模型”
四、凯斯艾生物抗感染疫苗与药物研发服务平台
凯斯艾•珂玛麒建立了同时具有BSL-2和ABSL-2双资质,100+种病原微生物,包括人类药物开发研究、兽药和宠物药所需的细菌、病毒和真菌的抗感染研发服务平台。BSL-2实验室面积约200m², 包含了细胞、病毒及细菌;ABSL-2实验面积约1000m²,其中小动物实验室300m²,大动物实验室700m²。经过多年的内部研发和对外服务,凯斯艾•珂玛麒成功地建立了20+种病毒、细菌及真菌感染性动物模型,能够为客户提供高质量的药理药效学评价服务。

01.流感疫苗在雪貂体内免疫原性和攻毒保护性评价
数据展示
▪ a-血凝抑制效价检测、b-动物体重变化、c-动物体温变化、d-鼻洗涤液病毒载量、e-肺脏病毒载量


▪ 肺脏HE病理染色分析-H1N1攻毒、H3N2攻毒、BV攻毒



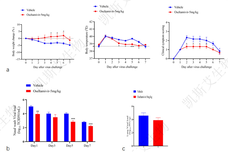
02.奥司他韦在雪貂流感病毒感染模型上的抗病毒作用研究
数据展示▪ a-动物体重/体温/临床症状评分、b-鼻洗涤液病毒载量检测、c-肺脏载量检测

▪ 肺脏HE病理染色分析
