 
     
    01. Complete analysis of animal models of osteoarthritis |
Key bridge from laboratory to clinical practice
When people get old, they get old legs, and when legs get old, they get old knees
This proverb reveals the real dilemma of osteoarthritis (OA) - a common but still unsolved chronic degenerative disease.
02. Why establish an animal model of osteoarthritis?
Osteoarthritis is one of the diseases with the highest disability rates worldwide. At present, cancer treatment often leads to joint pain and muscle pain, which not only brings pain and functional impairment, but also seriously affects the quality of life.
However, it is not realistic to directly study pathological mechanisms or test drugs on the human body - therefore, animal models have become a key bridge for researchers to connect laboratories and clinical settings.
Through animal models, we can:
• Simulate the degeneration process of bone joints;
• Explore the pathogenesis (inflammation, mechanics, metabolism, etc.);
• Validate drugs, rehabilitation, materials, and intervention strategies;
• Evaluate imaging, behavioral, and histological indicators.
Animal models are the 'experimental mirror' of osteoarthritis research
List of common models - different paths leading to the same bone joint
Osteoarthritis models can be roughly divided into two categories: spontaneous models and induced models.

The scientific logic of model selection

KCI BioTech Pharmacology and Pharmacology Evaluation Platform for Bone,
Joint, and Muscle System Diseases

KCI BioTech has established MIA induced arthritis, papain induced arthritis, and various surgical induced arthritis models. This article introduces surgical induced and guinea pig spontaneously induced osteoarthritis models.

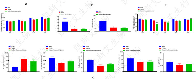
01. Induction of rat osteoarthritis model by anterior cruciate ligament transection
data display
▪ a-joint mechanical pain threshold, b-running exhaustion, c-foot balance, d-endpoint gait

▪ a-Histopathological examination b-IHC-MMP13

02. Induction of rat osteoarthritis model by meniscus transection
data display
▪ a-joint mechanical pain threshold, b-running exhaustion, c-foot balance, d-endpoint gait

▪ a-Histopathological examination b- IHC-MMP13

03. Guinea pig spontaneous osteoarthritis mild to moderate model
data display
▪ Mild spontaneous arthritis: a1- joint mechanical pain threshold, b1- running exhaustionModerate spontaneous arthritis: a2- joint mechanical pain threshold, b2- running exhaustion

Moderate spontaneous arthritis: a2 histopathological examination, b2 Collagen II representative image

04. New Zealand model of osteoarthritis induced by anterior cruciate ligament transection combined with meniscectomy
data display
▪ a-joint swelling b-CT

▪ a-Histopathological examination, b-TIMP-3 representative image, c-MMP13 representative image

Summary and Clinical Implications
▪ Model effectiveness: The rat osteoarthritis model was induced by anterior cruciate ligament transection (ACLT) and meniscus transection (MMT), the New Zealand white rabbit osteoarthritis model was induced by anterior cruciate ligament transection combined with meniscus resection, and the guinea pig spontaneous osteoarthritis mild to moderate model all showed significant histopathological damage, providing reliable model data for the study of osteoarthritis.
▪ Clinical value:The incidence rate of OA is increasing year by year, which has become a major chronic disease that affects the health of middle-aged and elderly people and reduces the quality of life, posing a serious challenge to personal health management and social medical system. In this environment, the construction of OA animal models has irreplaceable core value, laying the foundation for breaking through the current bottleneck of OA diagnosis and treatment and promoting the translation of basic research into clinical practice.